作者简介:张文雅 高级工程师,1973年生,2004年毕业于华东石油大学资源勘查与勘探专业,现在中国石油渤海钻探第二录井公司从事地质综合研究工作。通信地址:062552 河北省任丘市中国石油渤海钻探第二录井公司。E-mail:zhangwenya@cnpc.com.cn
深层煤岩气作为我国非常规能源体系的重要组成部分,其优质储层的精准识别对确保煤岩气开发效率与经济效益具有重要意义。然而深层煤岩气储层普遍具有“高温、高压、高应力、强非均质”的特征,传统评价方法因时效低、成本高、参数单一等问题,难以满足快速随钻评价需求。为此提出基于热重分析(TGA)技术的优质煤岩气储层评价方法,通过监测井筒返出煤屑样品升温过程的质量变化,同步获取灰分含量、最大失重速率温度、热重质量差、最大失重速率、水分含量5个关键参数,以实现储层品质与含气性的随钻综合解析。该技术已成功应用于多口新钻井,有效储层钻遇率提升8%,压裂选层决策周期缩短12%,为深层煤岩气储层高效勘探开发提供了新的技术途径与决策支持。
As an important part of China's unconventional energy system,deep coal-rock gas plays a crucial role,and the precise identification of its high-quality reservoirs is significant for ensuring development efficiency and economic benefits of coal-rock gas. However,deep coal-rock gas reservoirs are generally characterized by "high temperature,high pressure,high stress and strong heterogeneity",traditional evaluation methods are difficult to meet the needs of rapid evaluation while drilling due to problems such as low timeliness,high cost and single parameter. To this end,a high-quality coal-rock gas reservoir evaluation method based on Thermogravimetric Analysis (TGA) technology is proposed. By monitoring the mass changes of slack samples returned from the wellbore during the heating process,five key parameters including ash content,temperature of maximum mass loss rate,thermogravimetric mass difference,maximum mass loss rate,and moisture content are obtained simultaneously to achieve a comprehensive analysis of reservoir quality and gas content while drilling. This technology has been successfully applied to new multi-well drilled,increasing the effective reservoir drilling rate by 8% and shortening the decision-making cycle of fracturing and layer selection by 12%. It provides a new technological approach and decision support for highly efficient exploration and development of deep coal-rock gas reservoirs.
深层煤岩气作为清洁、高效的非常规天然气的重要组成, 已成为我国“ 十四五” 增储上产的主力领域。然而, 埋深大于2 000 m的深层煤岩气储层普遍具有“ 高温、高压、高应力、强非均质” 特征, 优质储层厚度一般为2~6 m, 横向变化快, 给储层评价与开发带来了巨大挑战[1]。传统评价技术面临三大瓶颈:一是时效低, 工业分析实验全流程累计耗时48 h以上, 无法实现随钻快速选层; 二是成本高, 单井实验费用30~40万元, 存在耗时长、易受干扰、数据离散等问题; 三是参数单一, 气测录井仅能提供含气性信息, 无法获取有机质丰度、矿物组成、热演化程度等关键属性。煤岩源储一体的特性导致传统录井方法评价参数单一、针对性不足, 难以及时准确评估煤岩品质。因此, 探索一种新的、高效的分析手段填补技术空白, 对于深层煤岩气储层的评价与开发具有重要意义。近年来, 随着深层煤岩气资源开发的不断深入, 热重分析(Thermogravimetric Analysis, TGA)技术在煤岩气领域的应用逐渐受到关注, 通过热重分析煤岩样品的质量变化, 可以解析其热稳定性、成分组成及反应动力学, 为煤岩气储层随钻评价提供了新思路。本文系统阐述热重分析技术原理、测试方法、关键参数及现场应用效果, 以期为深层煤岩气规模开发提供新的技术途径[2, 3]。
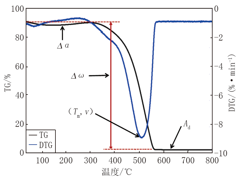
热重分析是一种通过监测物质在特定温度程序下质量变化进行分析的技术, 作为一种高灵敏度的热分析技术, 其在材料科学、化学工程、制药研究等领域有着广泛应用。由于热重分析技术在煤岩气领域的应用尚处于起步阶段, 需要进一步深入研究和探索。在煤岩气储层评价中, 热重分析技术通过实时记录煤岩样品在升温过程中的质量变化, 获取TG热重曲线和DTG微分热重曲线(图1)。其中, TG曲线表征样品实时质量与原始质量在不同温度时的比值, 反映样品质量随温度变化的总体趋势; DTG曲线为TG曲线的一阶导数, 反映样品在不同温度下的质量损失速率, 揭示样品热分解过程中的关键阶段与特征温度[4]。通过TG与DTG曲线的联合解析, 可识别煤岩热解过程中的关键特征温度及反应阶段。
储层评价是深层煤岩气资源开发的基础工作, 对确定开发方案、提高开采效率、降低开发成本具有重要意义。其评价涉及储层地质特征、物性特征、含气性特征等多个方面。优质煤岩储层的识别是储层评价的关键环节之一。
热重分析技术以井筒内返出岩屑为分析样本, 分析数据可应用于正钻井随钻跟踪评价, 可同时获得包括灰分含量(Ad, %)、最大失重速率温度(Tm, ℃)、热重质量差(
样品制备是热重分析测试的第一步, 其质量直接影响测试结果的准确性。取煤岩样品约30 mg粉碎至80~100目标准筛粒度, 以增加样品的均匀性和代表性, 然后在105± 2 ℃的真空干燥箱中干燥预处理至恒重。记录原始样品的质量Wo(以100%为基准), 用于后续的质量变化计算。
将预处理后的样品置于热重分析仪中进行程序升温。设置空气流量为50 mL/min, 升温速率为10 ℃/min, 以模拟煤岩在实际地层条件下的受热过程。同步记录样品的TG、DTG曲线, 以获取样品在不同温度下的质量变化信息。实验条件的选择应根据煤岩样品的特性和测试需求进行调整, 以确保测试结果的准确性和可靠性。
数据处理与分析是热重分析的关键环节。通过精确的数据处理, 可以获取煤岩样品的关键参数, 如灰分含量、最大失重速率温度等。这些参数对于评价储层品质、预测储层含气性具有重要意义。同时, 数据分析还可以揭示煤岩样品的热解特性和组分特征, 为储层评价提供更为全面的信息。
基于DTG曲线的峰形拐点特征, 动态划分热解阶段:初始阶段(室温~200 ℃)为水分脱附阶段, 主要为吸附水与少量气体脱附, 记录第一个质量损失百分比W1, 该值即定量表征了样品的水分含量; 在最大失重速率温度(常见于500~700 ℃)± 50 ℃之间为固定碳燃烧阶段, 记录第二个质量损失百分比W2, 在此阶段, 需精确读取DTG曲线主峰顶点对应的温度, 即最大失重速率温度(Tm), 同时记录该峰顶点的纵坐标值, 即最大失重速率(v); 当DTG曲线在520 ℃后回归基线, 质量恒定阶段视为灰分残留阶段, 此时的残余质量即为灰分含量(Ad)。最终, 将原始样品的质量Wo减去两次记录的质量损失百分比(W1+W2), 即燃烧后的残余物, 作为热重分析的煤岩灰分含量(Ad)。
Ad=Wo-(W1+W2)=1-(W1+W2)
式中:Ad为煤岩灰分含量, %; Wo为原始样品的质量(以100%为基准), %; W1为第一个质量损失百分比, %; W2为第二个质量损失百分比, %。
灰分是煤岩中不可燃无机矿物的集合体, 其含量高低与有机质丰度呈显著负相关, 并间接影响储层含气性、脆性指数及压裂改造效果[6]。通过热重分析技术, 可以定量计算煤岩灰分含量(Ad)。传统工业分析法存在样品破坏、耗时长等局限性, 而热重分析技术则能够实现快速、准确的灰分含量定量测定。灰分含量的高低直接影响储层质量, 灰分含量越低, 储层品质越好。因此, 在储层优选中, 应优先考虑灰分含量较低的样品代表井段。
最大失重速率温度(Tm)为DTG曲线主峰顶点对应的温度, 反映有机质热稳定性, 与煤阶镜质体反射率(Ro)呈显著正相关关系, Tm值高指示煤阶向高阶演化, 此时有机质结构更稳定, 热解所需能量更高, 同时促使吸附气向游离气转化。最大失重速率温度是反映煤岩热稳定性的重要参数, 通过对该参数的解析, 可以了解煤岩在不同温度下的热解行为, 为储层热演化程度的评价提供依据[7]。
热重质量差(
最大失重速率(v)是反映煤岩热稳定性的另一个重要参数, 代表样品热解过程中质量损失速率峰值, v值越高表明煤岩有机质含量越多, 分解反应速率越快, 其大小直接反映煤岩有机质热解反应的剧烈程度; Tm为v对应的温度点, 指示热解反应最活跃的温度区间。通过Tm和v两者结合, 可以精确捕捉煤岩在不同温度下的热解行为, 进而为储层热演化程度评价及含气性分类分级提供依据, 同时获得煤含量及其发育程度。这对于储层热演化程度的评价以及煤岩含气性的分类分级具有重要意义。
煤岩中普遍存在的水分包括外在水分、内在水分等形态, 其中内在水分是指吸附在煤颗粒内部毛细孔中的水分, 是反映煤化程度和储层孔隙特性的重要指标。由于水分含量(
2025年该技术已成功应用于多口新钻井, 有效储层钻遇率提升8%, 压裂选层决策周期缩短12%, 充分证实该技术可精准识别优质煤岩储层。
煤岩气储层中灰分含量的准确测定是储层评价与开发的关键参数之一。灰分含量高低直接影响含气量估算、储层渗透性分析及开发经济性评估[10, 11]。传统灰分分析法(GB/T 212-2008《煤的工业分析方法》)存在样品破坏、耗时长、数据不连续等局限性[12], 制约了煤岩气储层的高效开发。热重分析技术通过在钻井现场检测煤岩样品在不同温度下的质量变化, 实现了灰分含量的快速、准确测定。
以XX 1井为例, 该井为一口深层煤岩气水平井。通过收集井段2 290~2 370 m的16块煤岩样品进行热重分析, 并将热重分析获得的灰分数据(Ad)与工业分析实验获得的灰分数据(Aad)进行相关性研究。结果显示(图2), 两者呈现高度线性相关(R² =0.976 6), 验证了热重分析技术用于深层煤岩灰分快速分析的可行性与可靠性, 能够满足现场随钻快速准确获取工业分析关键参数的需求。
储层含气性是评价煤岩气储层品质的重要指标之一。通过热重分析技术, 可以结合气测数据对储层含气性进行评价。
以XX 2井为例, 该井的热重分析结果表明, 气测全烃与热重质量差在深度2 600~2 950 m范围内呈现显著相关性(图3)。即在高气测段时, 两者数值均较高; 低气测段时, 两者数值同步下降。然而, 需要注意的是, 在深度2 706、2 816 m等高气测值集中处出现了较低热重质量差, 指示可能出现煤矸, 这可能对气测结果产生一定影响。因此, 在应用气测评价储层含气性时, 应结合热重分析结果进行综合考量, 辅助煤矸层的识别。
综上所述, 该井气测全烃与热重质量差整体一致, 虽然高气测值代表煤岩储层的高含气性, 但具体情况还可以结合热重分析结果综合评判。
夹矸层的存在对煤岩气储层开发具有不利影响, 准确识别夹矸层对于提高开采效率和经济效益具有重要意义。热重分析技术通过监测煤岩样品在升温过程中质量的变化, 能够有效识别夹矸层。
以XX 3井为例, 通过收集22块煤岩样品进行热重测试, 结果在2 490 m处检测到灰分含量明显变大、最大失重速率温度有所减小、热重质量差显著降低、最大失重速率降低(因本文所述均为高变质煤岩, 水分含量代表意义不强可略), 同时气测全烃值也有所减小(图4)。基于热重分析结果, 现场决策提前23 m开始造斜, 增加了有效储层钻遇长度15.6 m。这一案例充分验证了热重分析技术在夹矸层识别中的有效性和准确性。通过实时监测热重质量差的变化, 可以及时发现夹矸层的存在, 从而调整钻井策略, 提高钻井效率。
优质煤岩储层的准确识别是煤岩气储层评价的核心目标, 可为开发提供决策依据。热重分析技术通过同步获取煤岩样品的灰分含量、最大失重速率温度、热重质量差等关键参数, 能够实现对优质煤岩储层的综合评价。
以XX 4H井为例, 在2 360~2 680 m井段对161块煤岩样品进行现场热重测试, 通过热重质量差与灰分含量两项关键参数的交会结果来看, 煤岩储层的热重质量差越大, 灰分含量越低, 煤岩品质越好(图5)。结合元素、气测、地化等参数综合分析发现, 优质煤岩储层对应“ 热重质量差大、灰分含量低、最大失重速率温度高、煤质含量多、气测全烃值大、TOC含量高” 的特征组合。该井原解释结果为Ⅰ 类层279 m/1层, Ⅱ 类层54 m/2层; 基于热重分析结果结合元素、气测及地化录井数据, 对目标井段进行精细解释与划分后, 共解释Ⅰ 类层238 m/8层, Ⅱ 类层76 m/8层, Ⅲ 类层13 m/3层。分析表明, 热重分析技术通过多参数协同分析, 可为优质煤岩储层的精细识别与划分提供可靠依据, 从而为下一步深层煤岩气勘探与评价奠定了基础。
本文详细阐述了热重分析技术在深层煤岩气储层评价中的应用, 包括技术原理、测试方法、关键参数解析以及应用案例分析。研究结果表明, 热重分析技术能够实现对煤岩样品质量变化规律的全面解析, 获取储层的关键参数, 如灰分含量、热重质量差等。通过现场应用验证, 该技术体系可精准识别优质煤岩储层, 提高储层评价的准确性和全面性, 显著降低勘探成本, 提升深层煤岩气开发的经济效益。
随着智能算法的深度融合和技术的不断迭代, 热重分析技术在储层评价领域的应用前景将更加广阔。该技术借助先进的算法和数据分析手段, 未来有望实现从定性识别到定量分析的跨越式发展。同时, 通过与质谱联用技术相结合, 对气体组分进行精准分析, 形成更为完善的储层评价体系, 为深层非常规油气资源的经济高效开发提供全新的技术解决方案, 推动储层评价技术向更高精度、更高效率和更智能化方向发展。
(编辑 王丙寅)
| [1] |
|
| [2] |
|
| [3] |
|
| [4] |
|
| [5] |
|
| [6] |
|
| [7] |
|
| [8] |
|
| [9] |
|
| [10] |
|
| [11] |
|
| [12] |
|

